全球气候变暖具有显著的季节性趋势,即不同季节往往经历不同的升温幅度。在青藏高原,因其高海拔和恶劣环境,生态系统极其脆弱,高寒草甸植物对气候变化的响应既高度敏感又独具特色。近年来,大量研究揭示了季节性增温下高寒草甸群落结构和物候特征的变化,但植物群落退化的具体机制仍不清楚。通过分析植物转录调控及生理响应机制,结合野外植被调查,不仅有助于揭示全球气候变暖条件下植物群落退化的特征与机理,也可为应对气候变暖趋势下高寒草地保护与利用的适应性管理提供理论支持。

近日,北京林业大学草业与草原学院尹淑霞教授团队在 Plant, Cell & Environment 发表了题为"Transcriptional Changes Underlying the Degradation of Plant Community in Alpine Meadow Under Seasonal Warming Impact"的研究论文,揭示了季节性增温对高寒草甸植物的影响与植物的响应,通过比较转录组研究解析了季节性增温导致高寒草甸植物群落退化的分子机制。

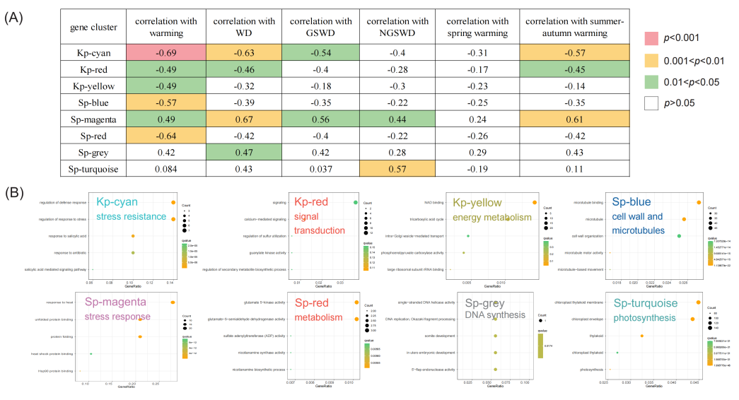
图1 季节性增温下高山嵩草(Kp)与紫花针茅(Sp)共表达基因簇功能及与增温特征的关系
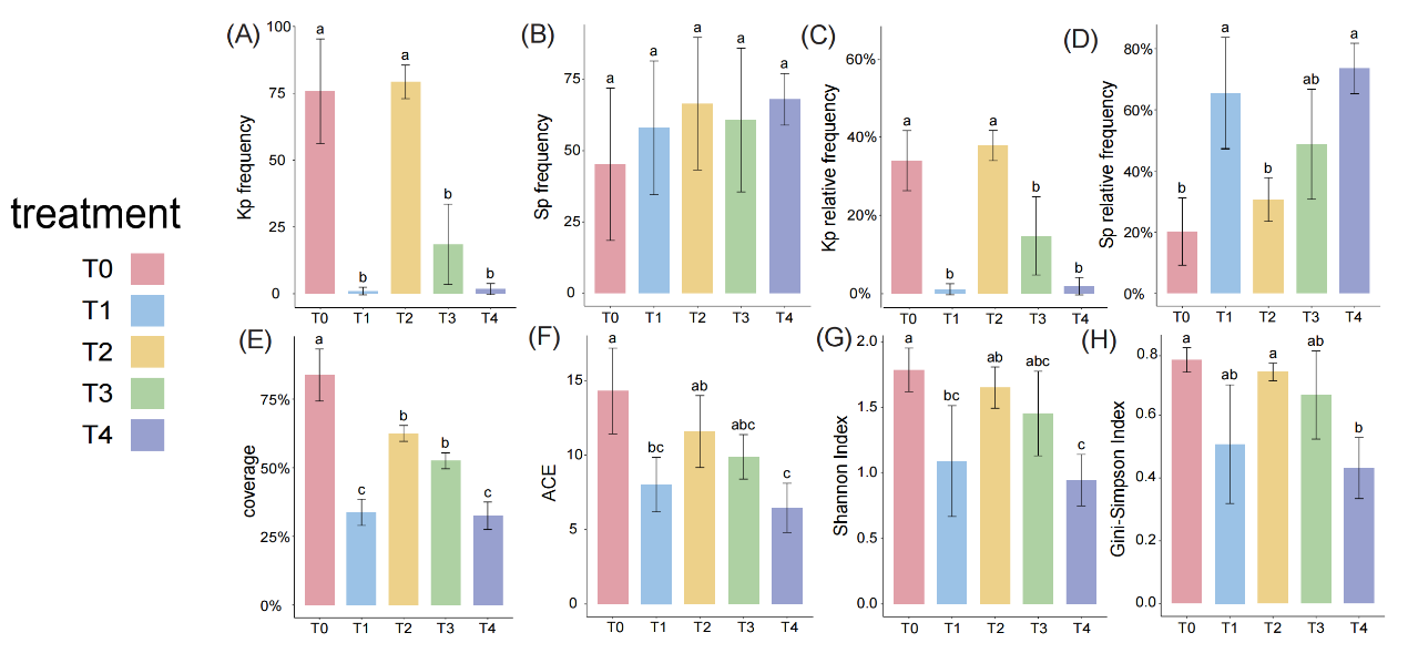
该研究通过开放式增温装置(Open Top Chambers, OTCs)模拟未来的季节性增温情景(生长季增温,非生长季增温,生长季非生长季复合增温),重点分析了两种优势物种——高山嵩草 (Kobresia pygmaea) 和紫花针茅 (Stipa purpurea) 在长期增温中的转录和生理反应。研究结果表明,季节性增温的影响与增温持续时间和增温发生的季节密切相关,较长的生长季增温,特别是夏秋增温会给植物带来较大的压力(图1)。在这样的压力胁迫下,高山嵩草表现出应激规避策略,导致其种群数量减少甚至消失;而紫花针茅则采取应激耐受策略,逐渐在草甸群落中占据主导地位。虽然面对季节性增温植物存在差异化的响应策略,但整体而言,长期的生长季增温降低了植物群落多样性和盖度,导致植物群落退化(图2)。

图2 不同季节性增温处理下高山嵩草(Kp)与紫花针茅(Sp)种群及植物群落特征的差异。
通过转录组和生理学分析,研究揭示了高山嵩草在应对季节性增温时表现出负面反应,其抗性基因表达下降,能量代谢减弱,最终导致其生长和繁殖能力的降低。而紫花针茅则通过上调热激蛋白等应激反应基因,表现出更强的耐受能力,能够在增温压力下维持种群的相对稳定(图3)。整体来看,季节性增温能够重新塑造高寒草甸的植物群落结构,莎草科植物的衰退以及紫花针茅的崛起显示了不同植物对增温的差异性响应。
该研究为理解气候变化背景下高山草甸植物群落的演替提供了新的理论依据,也为未来植物保护策略的制定提供了新视角。

图3 高山嵩草(Kp)与紫花针茅(Sp)对不同季节性增温的差异化基因表达响应
北京林业大学草业与草原学院尹淑霞教授为本论文的通讯作者,中国科学院青藏高原研究所斯确多吉研究员为本论文的共同通讯作者。博士研究生牛启尘、已毕业硕士研究生金冠芳是本论文共同第一作者,扬州大学甘露副教授、中国科学院青藏高原研究所杨智永博士以及北京师范大学沈妙根教授为该研究提供了指导和帮助。此项研究得到了自然科学基金联合基金(U20A2005)项目的支持。原文链接:https://doi.org/10.1111/pce.15160
作者:牛启尘、尹淑霞
审核:纪宝明
