近日,草业与草原学院研究团队发现,氮沉降会改变内蒙古草原植物地上碳氮磷化学计量特征,但对地下碳氮磷化学计量特征没有影响。该研究以“Nitrogen addition alters aboveground C:N:P stoichiometry of plants but not for belowground in an Inner Mongolia grassland”为题,在Journal of Plant Ecology上发表。草业与草原学院研究生王紫琦(导师庾强教授)为第一作者,草业与草原学院青年教师安怡昕为通讯作者。
氮沉降对生态系统功能和过程具有显著影响。已有研究表明,氮添加会影响植物叶片的C:N:P化学计量特征。然而,氮添加对植物根系C:N:P化学计量特征影响的研究罕有报道。为对比氮添加对草原植物群落地上和地下C:N:P化学计量特征的影响,研究团队在内蒙古锡林郭勒草原开展长达7年的氮添加实验,通过设置6个处理(对照; N1: 0.4 mol·m-2 N; N2: 0.8 mol·m-2 N; N3: 1.6 mol·m-2 N; N4: 2.8 mol·m-2 N; N5: 4 mol·m-2 N),测量并分析了植物地上、地下生物量和C:N:P 化学计量特征。
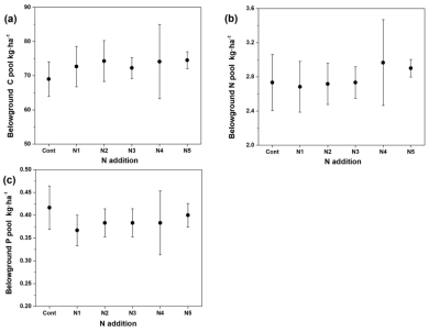
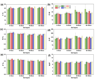
结果表明,氮添加会导致植物群落地上部分C浓度降低,N浓度和P浓度升高,C:N和C:P比值降低,N:P升高,且地上C、N、P库均因施氮而增加。然而,氮添加对0-10cm,10-30cm,30-50cm和50-100cm这4个土层地下部分的C、N、P浓度、比例、库和化学计量特征均没有显著影响。据此表明,氮添加会显著改变植物群落地上部分C:N:P化学计量特征,进而影响草地生态系统的功能和过程,但对地下C:N:P化学计量特征几乎没有影响。

图1. 施氮对植物地上C、N、P浓度及C:N:P化学计量的影响

图2. 施氮对植物地下C、N、P浓度及C:N:P化学计量的影响

图3. 施氮对4个土层植物地下碳氮磷化学计量的影响
原文链接:https://doi.org/10.1093/jpe/rtad041
作者:王紫琦
审核;纪宝明
