拉绳测试是比较心理学研究中广泛使用的行为测试范式,已经用于测试多种鸟类和哺乳动物。地熊蜂(Bombus terrestris)是目前报道的唯一一个能通过拉绳获得奖励的节肢动物,然而仍不清楚熊蜂在拉绳过程中能否判断绳子的连接性。
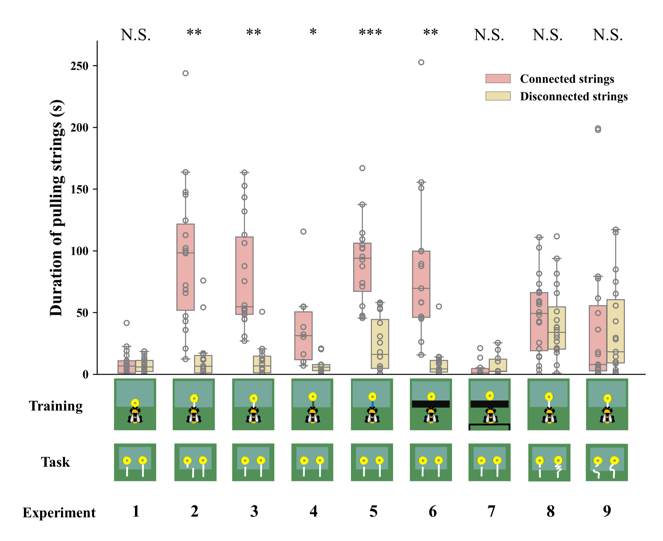
近日,草业与草原学院青年教师文超为论文第一作者和通讯作者的论文“Does bumblebee preference of continuous over interrupted strings in string-pulling tasks indicate means-end comprehension?”发表于中科院一区期刊《eLife》。该研究针对如上问题,使用了9个水平拉绳实验来探究熊蜂是否能够判断绳子连接性。在测试过程中,向熊蜂展示了2个选择:其中一个是将绳子连接到含有奖励的人造花,另一朵花呈现中断的绳子。



结果表明,没有拉绳经验的地熊蜂无法判断绳子的连接性,有拉绳经验的地熊蜂能够区分连续和断开的绳子;地熊蜂能够泛化学习绳子的颜色特征,即使训练和测试中绳子的颜色不同,地熊蜂仍然倾向于选择连接的绳子;地熊蜂在拉绳过程中的绳子的视觉信号被遮挡或掩盖(在绳子拉动或拉出之后,有一个遮挡物),熊蜂无法识别连接的绳子;当训练的时候绳子为直的,测试时绳子为弯曲,熊蜂无法判断绳子的连接性,表明熊蜂是通过图像匹配来区分连续和断开的绳子,而不是天生的理解绳子的连接性。

该研究得到了国家自然科学基金委员会青年基金等项目资助。
论文链接:https://elifesciences.org/reviewed-preprints/97018
作者:文超
审核:纪宝明
